Das Erdbeben am 28. Juni 1982
Die Erdbeben-Vorlesung
Im Folgenden ist meine Mitschrift einer Topologie-Vorlesung
zu sehen, die am Montag, den 28. Juni 1982 im Physik-Hörsaal-Gebäude stattfand.
Kurz vor Ende dieser Vorlesung ereignete sich das "Erbeben von Bad Marienberg".
Heute, d.h. fast dreißig Jahre später, kann ich mich nicht mehr an die
Uhrzeiten des Erdbebens und der Vorlesung erinnern. Ich weiß aber noch,
dass
- es eine Algebra- oder Topologievorlesung war,
- die Vorlesung vormittags stattfand,
- es einen 1-2 Sekunden langen Rums im Gemäuer gab,
- mein Kommilitone zur Linken flüsterte: "Ein Erdbeben", was ich nicht
glaubte.
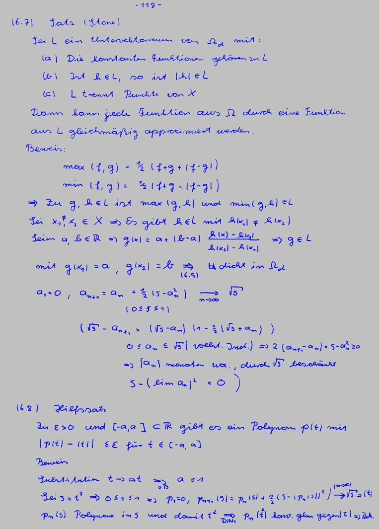
Aus dem Datum und der Uhrzeit des Erdbebens (28.06.1982,
09:57:34.3 Uhr UTC) d.h. um 11:57 Uhr MESZ, dem Vorlesungsverzeichnis
für das Sommersemester 1982 der Uni Gießen (Topologie, Baumann, Mo 10-12,
Di 10-12, Hörsaal IV) und dem Datum meiner Mitschrift
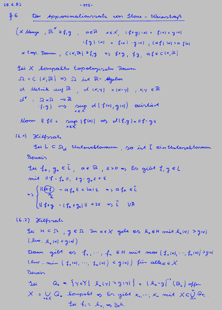
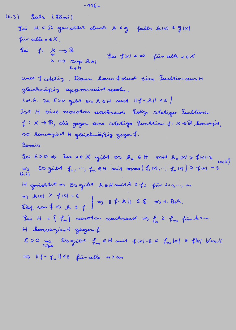
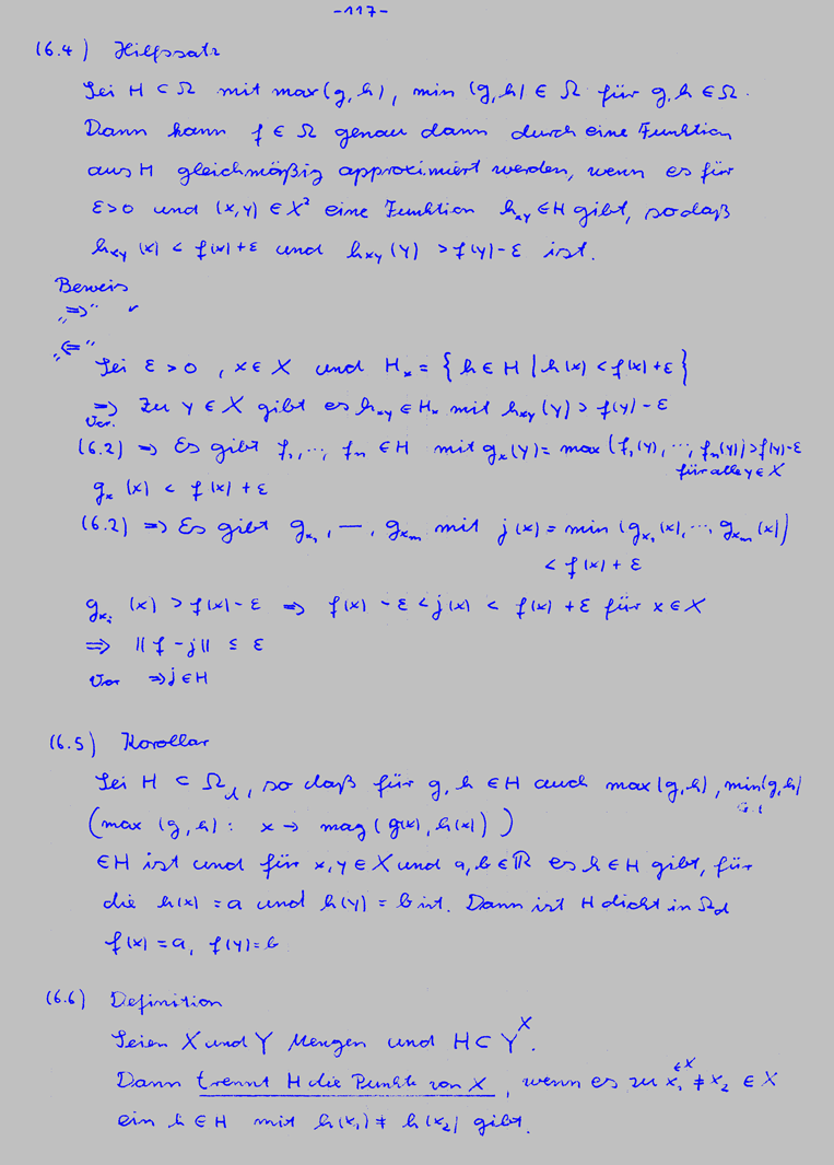
läßt sich leicht folgern, dass das Erdbeben beim S a t z v o n W e i e r s t r a ß
(Seite 119) passierte:




© 14. Februar 2011 by Josef Gräf, Die Erdbeben-Vorlesung am 28.6.1982